Ewha Research Power

약학과 권영주 교수팀,

대장암 겨냥한 정밀 치료 타깃 발굴

HER2 단백질이 ELF3 전사인자를 자극하고, 이 ELF3가 다시 KRAS 유전자의 발현을 촉진하는 ‘HER2–ELF3–KRAS 축’이 존재한다는 사실을 세계 최초로 밝혀냄

권영주 교수 연구팀이 기존 항암 치료에 반응하지 않던 KRASG13D 변이 대장암에서 암세포의 생존과 증식을 매개하는 핵심 신호 경로를 세계 최초로 규명했다.


대장암 환자의 최대 80%는 EGFR 단백질이 과도하게 만들어지는 현상을 보이며, 이에 따라 EGFR을 억제하는 ‘세툭시맙’이 1차 치료제로 사용되고 있다. 그러나 KRAS나 BRAF 유전자에 변이가 있는 환자에게는 세툭시맙의 치료 효과가 급격히 떨어지며, KRASG13D 유전자 변이를 가진 환자는 대장암 예후가 특히 나쁘다는 한계가 있었다.

연구팀은 이와 같은 의료 공백을 해소하고자 KRASG13D 대장암의 생물학적 특성을 정밀 분석했다. 분석 결과, 이 암에서 HER2 단백질이 과도하게 만들어지는 것이 약물 반응성이 떨어지는 주요 원인임이 밝혀졌다. 연구팀은 또한 HER2 단백질이 ELF3 전사인자를 자극하고, 이 ELF3가 다시 KRAS 유전자의 발현을 촉진하는 ‘HER2–ELF3–KRAS 축’이 존재한다는 사실을 세계 최초로 밝혀냈으며, 나아가 KRASG13D 변이 대장암은 다른 종류의 암과 달리, HER2와 HER3라는 수용체가 짝을 이루는 작용에 더 의존적으로 증식한다는 점도 입증했다.


연구팀은 이번 독자적인 발견을 통해 단순한 분자 기전 규명에 그치지 않고 실질적인 치료 전략으로의 확장 가능성까지 증명했다. 자체 개발한 단백질-단백질 상호작용 억제 물질 ‘YK1’을 이용해 HER2–ELF3–KRAS 축을 차단하는 실험을 진행했고, 그 결과 기존 치료제인 세툭시맙에 반응하지 않던 KRASG13D 대장암 세포가 다시 치료에 반응하기 시작하는 것을 확인했다. 아울러 동물실험에서도 암의 성장을 효과적으로 억제하는 것을 입증했다.


READ MORE >>

논문명

Targeting the HER2-ELF3-KRAS axis: a novel therapeutic strategy for KRASG13D colorectal cancer

저널명

Molecular Cancer


약학과 류인균 교수팀,

첨단 뇌과학 기법으로 세계 최초 24시간 연속 인간 뇌 측정

정밀 뇌자기공명분관 영상을 활용한 24시간 연속 신경대사물질 측정

류인균 교수 연구팀이 수면 과정에서 대뇌 신경대사물질의 농도 변화와 뇌 기능의 상관관계를 24시간 연속 뇌 영상 측정 방식을 통해 세계 최초로 규명했다. 연구팀은 수면-각성 주기에 따른 인간 뇌 속의 신경대사물질 농도 변화를 분석하고 이 변화가 인지 기능과 수면에 미치는 영향을 밝혀냈다.


기존의 수면 뇌영상 연구는 수면 전후나 수면 중 특정 시점, 수면 박탈(수면 기능을 연구할 목적으로 잠을 자지 못하게 하는 것) 전후의 한시적 데이터를 분석하는 데 초점을 맞춰 수면 과정 중 신경대사물질의 역동적 변화를 충분히 이해하기에 어려웠다. 하지만 류인균 교수 연구팀은 연속적인 최첨단 MRS 기법을 통해 정상적인 수면-각성 주기 그리고 수면 박탈 및 이후 회복 수면 과정에서의 변화를 분석함으로써 주요 신경전달물질이 수면과 각성에 미치는 영향을 정밀하게 규명했다.

연구 결과, 흥분성 신경전달물질인 글루타메이트는 정상적으로 깨어 있을 때 증가하고 수면 중 감소하는 주기적 패턴을 보였다. 정상 수준으로 감소한 글루타메이트 농도는 뇌 기능 회복을 돕는 것으로 나타났다. 반면, 일부러 잠을 자지 못하게 하는 ‘수면 박탈’ 상태에서는 글루타메이트 농도가 정상적으로 깨어 있을 때보다 낮아졌다. 이는 수면이 부족할 경우 글루타메이트 대사의 항상성이 교란되고 신경 효율성이 감소하는 것을 보여준다. 이후 회복 수면 동안에는 각성 상태에서 축적되어 있던 글루타메이트 농도가 다시 감소하면서 뇌 대사의 정상화를 돕는 것이 관찰됐다. 연구팀은 글루타메이트 농도의 변화가 수면과 깨어 있는 상태에서 뇌 회복과 기능 유지에 핵심적인 역할을 한다고 설명했다. 충분한 수면을 해야만 대뇌 글루타메이트 농도가 안정적으로 유지되고 글루타메이트 대사 항상성이 잘 조절되어 뇌 건강을 지킬 수 있다는 의미다.


READ MORE >>

논문명

Variations in Brain Glutamate and Glutamine Levels Throughout the Sleep-Wake Cycle

저널명

Biological Psychiatry


화학·나노과학과 김동하 교수팀,

빛을 이용한 혁신적 암 치료법 개발

키랄 플라스모닉 나노입자(CPNs)를 이용한 계단식 효소 반응을 통해 RC 및 LC 조명 하에서 촉매적 암 치료가 이루어지는 개략적 모식도

김동하 교수 연구팀이 효소처럼 작용하는 키랄 플라스모닉 나노입자(Chiral Plasmonic Nanoparticles, CPNs)를 이용해 광학적으로 제어 가능한 촉매적 암 치료법을 개발했다. 우리 몸에서는 대사 과정, 신호 전달, 유전자 조절과 같은 복잡한 생화학적 반응이 연속적으로 일어난다. 이러한 반응들은 효소에 의해 조절되며, 특정한 환경에서 순차적으로 일어나야 최적의 효과를 발휘한다. 연구팀은 연쇄 반응을 모방하여, 나노입자를 활용한 암 치료법을 개발했다.


이번 연구에서는 포도당 산화효소 및 과산화효소 활성을 갖는 생체 모방 키랄 플라스모닉 나노 입자를 제작하고, 원형 편광 빛을 이용하여 각 반응을 독립적으로 조절하는 방식을 제시했다. 세포 수준 연구 및 동물 모델 실험에서, 순차적으로 원형 편광을 조사한 경우 가장 높은 라디칼 생성률과 암 치료 효과를 나타내어, 본 기술의 우수성을 입증했다. 이번 연구는 키랄성을 도입한 나노 입자가 생체 내에서 자연의 선택적 반응성을 모방하고, 빛을 통해 조절 가능한 기능을 추가함으로써, 기존 촉매 기반 암 치료의 한계점을 극복할 수 있다는 점에서 큰 의미를 가진다. 앞으로 이 기술은 표적 약물 전달, 재생 의학 등 다양한 의료 분야에도 적용될 가능성이 있으며, 나노기술을 활용한 의학의 패러다임을 변화시킬 것으로 기대된다.


김 교수는 “향후 연구에서는 더 다양한 암 유형에 대한 적용 가능성, 임상 실험을 통한 효과 검증, 생체 적합성 개선 등이 이루어질 것으로 기대된다”며 “나노입자를 활용한 새로운 광학적 항암 치료법이 실제 의료 현장에서 사용되기를 기대한다”고 밝혔다. 


READ MORE >>

논문명

Optically tunable catalytic cancer therapy using enzyme-like chiral plasmonic nanoparticles

저널명
Nature Communications

과학교육과 김혜미 교수팀,

화산 활동이 엘니뇨 발생에 미치는 원인 규명

화산이 폭발함에 따른 수분 분포 차이로 인해 MJO의 활동 강도가 강해짐을 나타냄(A, B: 엘치촌 화산(1982년)과 피나투보 화산(1991년) 폭발 시 수분 편차(갈색: 건조해진 구역). C, D: 두 화산 폭발 시 MJO 활동 강도(파란색: 활동이 강화된 구역).)

김혜미 교수 연구팀이 화산 활동이 단순한 자연재해를 넘어 지구 대기와 해양 시스템에 어떤 영향을 미쳤는지를 과학적으로 규명하는 데 성공했다. 대규모 화산이 폭발하면 동태평양 해수면 온도가 상승하는 엘니뇨가 발생한다는 사실은 학계에 널리 알려져 있었다. 그러나 화산 폭발 후 엘니뇨가 즉각적으로 발생하는 원리는 명확하지 않았으며, 기존의 기후 모델들이 이러한 원리를 제대로 시뮬레이션하지 못하는 한계가 있었다. 


연구팀은 기후 모델의 대규모 앙상블 시뮬레이션을 통해 화산 강제력이 엘니뇨 반응에 어떤 영향을 미치는지 분석하고 열대 지역의 매든-줄리안 진동(Madden–Julian Oscillation, 이하 MJO)이 엘니뇨를 유발하는 중요한 요인임을 밝혀냈다. 화산 폭발 후 인도-태평양 지역의 육지 건조화와 바다 습도 변화로 인해 MJO 활동이 강화될 확률이 약 35% 증가하며, 이는 엘니뇨 발생 확률을 약 98%까지 높이는 역할을 하는 것으로 나타났다. 이는 화산 활동과 엘니뇨 발생 간의 메커니즘을 더 명확하게 설명할 수 있는 중요한 발견으로, 기후 모델의 정확성을 높이기 위해서는 MJO 현상의 역할을 고려해야 함을 시사하고 있다.


화산 활동에 의해 발생된 기후 반응을 이해하는 것은 기후공학 기술이 미칠 잠재적 영향을 예측할 수 있기에 매우 시급한 과제이다. 이번 연구는 미래 기후 메커니즘에 대한 중요 실마리를 제공한다는 점에서 기후변화와 기후공학에 중요한 함의를 가진다. 나아가 기후 모델을 정교화하고 기상 이변과 강수 패턴 변화를 예측하는 데도 중요한 역할을 할 것으로 기대된다.


READ MORE >>

논문명

Volcanically forced Madden–Julian oscillation triggers the immediate onset of El Niño

저널명

Nature Communications


지능형반도체공학전공 곽준영 교수팀,

멤리스터 기반 스위치 소자 개발

급속 열처리 공정을 통해 소자의 필라멘트 경로를 형성하는 효율적인 공정을 도입하고 이온의 이동 경로를 제공해 안정적인 소자 동작을 구현함

곽준영 교수 연구팀이 저전력 뉴로모픽 컴퓨팅을 위한 산화지르코늄(ZrO2) 멤리스터(memristor) 기반 스위치 소자 개발에 성공했다. 멤리스터 기반의 스위치 소자는 인간의 두뇌를 모사한 차세대 인공지능 뉴로모픽 컴퓨팅, 확률론적 컴퓨팅, 레저버 컴퓨팅 등 컴퓨팅 하드웨어 구현에 필수적으로 사용되는 차세대 반도체 소자로, 전원이 인가되면 낮은 저항 상태로 전환되었다가, 전원이 꺼지면 다시 원래의 높은 저항 상태로 복귀하는 특성을 가진다. 멤리스터 소자는 특히 인공지능 하드웨어를 위한 다양한 응용 분야에서 활발히 연구되고 있다.


하지만 기존의 휘발성 멤리스터 소자는 이온 이동을 정밀하게 제어하기 어려워, 컴퓨팅을 위한 소자의 반복 동작 시 휘발 특성의 신뢰성을 확보하기 어려웠다. 또한, 스위치 활성화 단계에서 전도성 필라멘트가 불완전하게 형성되어 소자의 변동성과 내구성을 보장하기 어려워 실제 응용에 한계가 있었다.


이를 해결하기 위해 연구팀은 산화지르코늄의 결정 구조를 이용해 전도성 필라멘트 형성을 정밀하게 제어하는 기술을 새롭게 제시했다. 급속 열처리 공정을 통해 단일 산화물층에서 필라멘트 경로를 형성하는 효율적인 공정을 도입하여 기존의 복잡한 다층 구조를 대체했고, 결정화 산화지르코늄의 형성은 은(Ag) 이온의 이동 경로를 제공함으로써 안정적으로 소자의 저항 변화를 가능하게 하여 내구성을 대폭 향상시켰다. 결정화된 산화지르코늄 기반의 휘발성 멤리스터는 높은 재현성을 보여주며, 높은 비활성화 저항, 빠른 스위칭 속도, 그리고 저전력 구동을 나타내며 우수한 스위칭 성능을 입증했다.


복잡한 패턴 인식 작업에서 효율적인 분석이 가능한 이 기술은 레저버 컴퓨팅과 같은 뉴로모픽 응용 분야에서 중요한 가능성을 제시한 것으로 주목받았다.


READ MORE >>

논문명

Crystallinity-controlled volatility tuning of ZrO2 memristor for physical reservoir computing

저널명

InfoMat


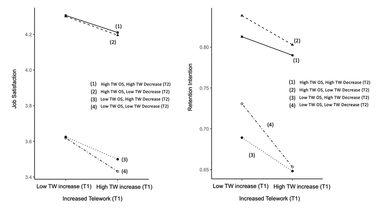
행정학과 이승혁 교수팀,

원격근무 지원의 효과와 숨겨진 비용 분석

비자발적 원격근무는 직무 만족도와 이직 의도에 부정적 영향을 주지만, 조직의 지원과 감소는 이를 완화함. 단, 과도한 지원은 복귀 거부감을 높여 조 직 성과에 숨은 비용을 초래할 수 있음.

이승혁 교수 연구팀은 미국 연방 정부 공무원 데이터를 활용해 비자발적 원격근무가 공무원들의 직무만족도와 이직 의도에 미치는 영향을 분석했다.


연구팀은 팬데믹 이전-정점기-이후의 세 단계로 나누어 원격근무 빈도, 조직 지원 수준, 직무만족도 및 이직 의도 간의 관계를 상세하게 파악하는 데 초점을 맞췄으며, 연구 분석 모형은 ‘위계적 회귀분석 조절효과’를 이용했다. 연구 결과, 팬데믹 정점기의 원격근무 빈도가 높을수록 공무원들의 직무만족도가 낮아지고 이직 의도가 높아지는 경향을 보였으며, 이는 비자발적 원격근무의 경우 긍정적인 효과보다는 사회적 고립감 증가 등 부정적인 영향이 크게 작용하는 것으로 파악됐다. 반면, 조직의 원격근무 지원이 충분한 경우 이러한 부정적 영향이 완화되는 경향이 나타났다. 이는 조직이 원격근무를 지원할 때, 직원 간의 사회적 상호작용을 촉진하고 고립감을 최소화하는 전략이 필요함을 시사한다. 또한, 팬데믹 이후 원격근무 빈도가 감소할 경우 직무만족도와 이직 의도에 긍정적인 영향을 미치는 것을 확인했다.


이승혁 교수는 팬데믹 정점기에 진행된 적극적인 조직 지원이 팬데믹 이후 비자발적 원격근무자의 원격근무 선호를 높임으로써 근무자의 사무실 복귀 저해 요소로 작용할 수 있다는 점을 ‘숨겨진 비용’으로 정의했다. 이러한 숨겨진 비용은 이직 의도에 더 큰 영향을 미치는 것으로 분석되었으며, 상호작용 효과를 통해 높은 수준의 조직 지원과 팬데믹 이후 원격근무 빈도 감소가 맞물리며 원격근무의 부정적 영향을 심화시키는 경향을 규명했다.


READ MORE >>

논문명

Benefit and Hidden Cost of Organizational Support for Telework amid the COVID-19 Pandemic on Public Employees’ Job Satisfaction and Retention 

저널명

Public Administration Review


11 Of 15


magazine.ewha.ac.kr

Ewha Womans University Semiannual Magazine

Since 1993



www.ewha.ac.kr

03760 서울특별시 서대문구 이화여대길 52

T. 02-3277-3693  |  F. 02-364-8011  |  E.  imewha@ewha.ac.kr

Copyright 2026 by EWHA WOMANS UNIVERSITY. All Rights Reserved.